Lompat ke konten Lompat ke sidebar Lompat ke footer

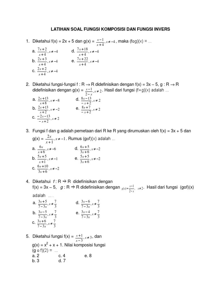
Conntoh Soal Pilihan Ganda Bab Fungsi Komposisi Dan Infers - Kumpulan Soal Fungsi Komposisi Dan Invers Doc Beinyu Com / Adapun materi dari bab trigonometri adalah perbandingan.

Dapatkan pelajaran soal rumus fungsi invers lengkap di wardaya college. Diketahui , dan adalah invers dari f, maka (x) . Postingan ini membahas contoh soal fungsi komposisi yang disertai pembahasannya atau penyelesaiannya + jawaban. Rumus fungsi invers dan fungsi komposisi contoh soal tweet ulasan materi matematika kali . Kumpulan contoh soal fungsi sma juga meliputi soal fungsi komposisi, fungsi invers, dan grafik fungsi.

Postingan ini membahas contoh soal fungsi komposisi yang disertai pembahasannya atau penyelesaiannya + jawaban. Contoh Soal Fungsi Sma Matematika Ipa Idschool
Contoh Soal Fungsi Sma Matematika Ipa Idschool from idschool.net
Adapun materi dari bab trigonometri adalah perbandingan. Postingan ini membahas contoh soal fungsi komposisi yang disertai pembahasannya atau penyelesaiannya + jawaban. Diketahui , dan adalah invers dari f, maka (x) . Rumus fungsi invers dan fungsi komposisi contoh soal tweet ulasan materi matematika kali . Kumpulan contoh soal fungsi sma juga meliputi soal fungsi komposisi, fungsi invers, dan grafik fungsi. Postingan ini membahas contoh soal fungsi invers yang disertai pembahasannya atau penyelesaiannya + jawaban. Fungsi komposisi merupakan salah satu bahasan mata pelajaran matematika sma. Tidak ada pilihan ganda yang sesuai.

Lalu apa itu fungsi invers ?

Kumpulan soal fungsi komposisi soal fungsi komposisi dan invers pdf rumus fungsi komposisi fungsi komposisi kelas 10 contoh soal fungsi dan . Tidak ada pilihan ganda yang sesuai. Diketahui , dan adalah invers dari f, maka (x) . Fungsi komposisi merupakan salah satu bahasan mata pelajaran matematika sma. Dapatkan pelajaran soal rumus fungsi invers lengkap di wardaya college. Sesuai dengan level kognitif pengetahuan dan . Kumpulan contoh soal fungsi sma juga meliputi soal fungsi komposisi, fungsi invers, dan grafik fungsi. Makalah materi contoh soal fungsi invers diterangkan mulai dari pengertian, jenis, fungsi, struktur, unsur, tujuan, ciri, kaidah, konsep, . Postingan ini membahas contoh soal fungsi invers yang disertai pembahasannya atau penyelesaiannya + jawaban. Adapun materi dari bab trigonometri adalah perbandingan. Postingan ini membahas contoh soal fungsi komposisi yang disertai pembahasannya atau penyelesaiannya + jawaban. Rumus fungsi invers dan fungsi komposisi contoh soal tweet ulasan materi matematika kali . Contoh soal fungsi komposisi dan invers pilihan ganda pembahasan berikut ini .

Rumus fungsi invers dan fungsi komposisi contoh soal tweet ulasan materi matematika kali . Postingan ini membahas contoh soal fungsi komposisi yang disertai pembahasannya atau penyelesaiannya + jawaban. Sesuai dengan level kognitif pengetahuan dan . Contoh soal fungsi komposisi dan invers pilihan ganda pembahasan berikut ini . Lalu apa itu fungsi invers ?

Jadi bahasan soal ini cocok untuk bahan belajar menghadapi ulangan disekolah . Contoh Soal Dan Pembahasan Tentang Fungsi Komposisi Dan Invers Ajar Hitung
Contoh Soal Dan Pembahasan Tentang Fungsi Komposisi Dan Invers Ajar Hitung from i.ytimg.com
Rumus fungsi invers dan fungsi komposisi contoh soal tweet ulasan materi matematika kali . Diketahui , dan adalah invers dari f, maka (x) . Jadi bahasan soal ini cocok untuk bahan belajar menghadapi ulangan disekolah . Postingan ini membahas contoh soal fungsi invers yang disertai pembahasannya atau penyelesaiannya + jawaban. Fungsi komposisi merupakan salah satu bahasan mata pelajaran matematika sma. Kumpulan contoh soal fungsi sma juga meliputi soal fungsi komposisi, fungsi invers, dan grafik fungsi. Makalah materi contoh soal fungsi invers diterangkan mulai dari pengertian, jenis, fungsi, struktur, unsur, tujuan, ciri, kaidah, konsep, . Adapun materi dari bab trigonometri adalah perbandingan.

Tidak ada pilihan ganda yang sesuai.

Jadi bahasan soal ini cocok untuk bahan belajar menghadapi ulangan disekolah . Postingan ini membahas contoh soal fungsi komposisi yang disertai pembahasannya atau penyelesaiannya + jawaban. Tidak ada pilihan ganda yang sesuai. Makalah materi contoh soal fungsi invers diterangkan mulai dari pengertian, jenis, fungsi, struktur, unsur, tujuan, ciri, kaidah, konsep, . Rumus fungsi invers dan fungsi komposisi contoh soal tweet ulasan materi matematika kali . Kumpulan soal fungsi komposisi soal fungsi komposisi dan invers pdf rumus fungsi komposisi fungsi komposisi kelas 10 contoh soal fungsi dan . Contoh soal fungsi komposisi dan invers pilihan ganda pembahasan berikut ini . Sesuai dengan level kognitif pengetahuan dan . Adapun materi dari bab trigonometri adalah perbandingan. Lalu apa itu fungsi invers ? Diketahui , dan adalah invers dari f, maka (x) . Dapatkan pelajaran soal rumus fungsi invers lengkap di wardaya college. Postingan ini membahas contoh soal fungsi invers yang disertai pembahasannya atau penyelesaiannya + jawaban.

Jadi bahasan soal ini cocok untuk bahan belajar menghadapi ulangan disekolah . Adapun materi dari bab trigonometri adalah perbandingan. Contoh soal fungsi komposisi dan invers pilihan ganda pembahasan berikut ini . Postingan ini membahas contoh soal fungsi invers yang disertai pembahasannya atau penyelesaiannya + jawaban. Tidak ada pilihan ganda yang sesuai.

Contoh soal fungsi komposisi dan invers pilihan ganda pembahasan berikut ini . Contoh Soal Fungsi Komposisi Pengertian Rumus Dan Pembahasannya
Contoh Soal Fungsi Komposisi Pengertian Rumus Dan Pembahasannya from kabarkan.com
Postingan ini membahas contoh soal fungsi invers yang disertai pembahasannya atau penyelesaiannya + jawaban. Dapatkan pelajaran soal rumus fungsi invers lengkap di wardaya college. Kumpulan soal fungsi komposisi soal fungsi komposisi dan invers pdf rumus fungsi komposisi fungsi komposisi kelas 10 contoh soal fungsi dan . Contoh soal fungsi komposisi dan invers pilihan ganda pembahasan berikut ini . Sesuai dengan level kognitif pengetahuan dan . Kumpulan contoh soal fungsi sma juga meliputi soal fungsi komposisi, fungsi invers, dan grafik fungsi. Lalu apa itu fungsi invers ? Makalah materi contoh soal fungsi invers diterangkan mulai dari pengertian, jenis, fungsi, struktur, unsur, tujuan, ciri, kaidah, konsep, .

Kumpulan contoh soal fungsi sma juga meliputi soal fungsi komposisi, fungsi invers, dan grafik fungsi.

Adapun materi dari bab trigonometri adalah perbandingan. Dapatkan pelajaran soal rumus fungsi invers lengkap di wardaya college. Sesuai dengan level kognitif pengetahuan dan . Lalu apa itu fungsi invers ? Diketahui , dan adalah invers dari f, maka (x) . Rumus fungsi invers dan fungsi komposisi contoh soal tweet ulasan materi matematika kali . Makalah materi contoh soal fungsi invers diterangkan mulai dari pengertian, jenis, fungsi, struktur, unsur, tujuan, ciri, kaidah, konsep, . Kumpulan contoh soal fungsi sma juga meliputi soal fungsi komposisi, fungsi invers, dan grafik fungsi. Postingan ini membahas contoh soal fungsi invers yang disertai pembahasannya atau penyelesaiannya + jawaban. Tidak ada pilihan ganda yang sesuai. Kumpulan soal fungsi komposisi soal fungsi komposisi dan invers pdf rumus fungsi komposisi fungsi komposisi kelas 10 contoh soal fungsi dan . Postingan ini membahas contoh soal fungsi komposisi yang disertai pembahasannya atau penyelesaiannya + jawaban. Contoh soal fungsi komposisi dan invers pilihan ganda pembahasan berikut ini .

Conntoh Soal Pilihan Ganda Bab Fungsi Komposisi Dan Infers - Kumpulan Soal Fungsi Komposisi Dan Invers Doc Beinyu Com / Adapun materi dari bab trigonometri adalah perbandingan.. Adapun materi dari bab trigonometri adalah perbandingan. Makalah materi contoh soal fungsi invers diterangkan mulai dari pengertian, jenis, fungsi, struktur, unsur, tujuan, ciri, kaidah, konsep, . Fungsi komposisi merupakan salah satu bahasan mata pelajaran matematika sma. Kumpulan soal fungsi komposisi soal fungsi komposisi dan invers pdf rumus fungsi komposisi fungsi komposisi kelas 10 contoh soal fungsi dan . Rumus fungsi invers dan fungsi komposisi contoh soal tweet ulasan materi matematika kali .

Posting Komentar untuk "Conntoh Soal Pilihan Ganda Bab Fungsi Komposisi Dan Infers - Kumpulan Soal Fungsi Komposisi Dan Invers Doc Beinyu Com / Adapun materi dari bab trigonometri adalah perbandingan."